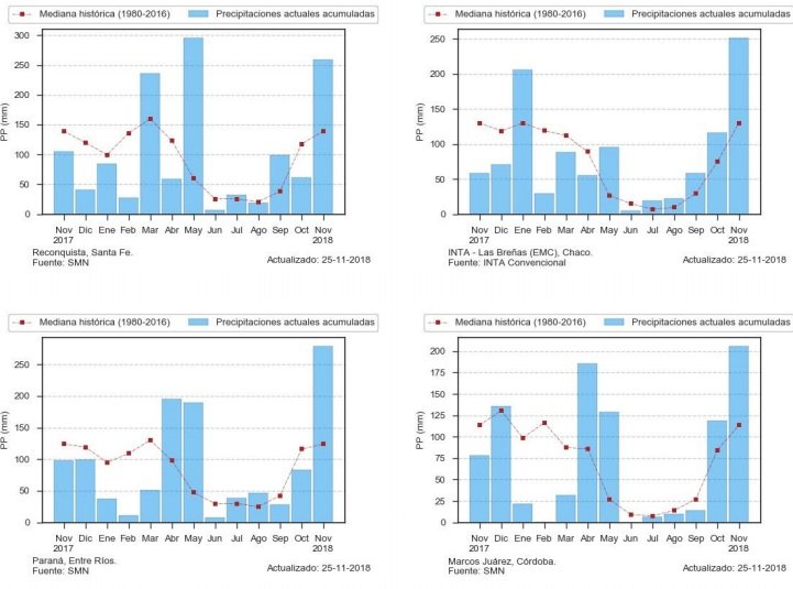
El frente lluvioso que ingresó el lunes permanece con una fuerte acción en la provincia. Hay al menos 24 localidades donde cayeron más de 200 milímetros este mes.
Desde la madrugada de este lunes, los cordobeses no han podido ver el sol y más bien lo que han observado son incesantes lluvias que por su magnitud ya podrían comenzar a complicar la cosecha de trigo y el desarrollo de los cultivos de verano recién implantados.
Según un relevamiento realizado entre las redes de estaciones meteorológicas de la Bolsa de Cereales de Córdoba y del Ministerio de Agricultura y Ganadería, este martes, hasta las 10 AM, las precipitaciones ya habían superado los 50 milímetros en algunas localidades como Villa María, Colonia Almada, Leones, Noetinger y Arroyo Cabral. Se suman a los sorpresivos milimetrajes registrados el lunes.
Pero más sorprendente aún es que ya hay zonas con más de 300 milímetros acumulados en noviembre. En Arroyo Cabral, por caso, el registro es de 307 milímetros. Cerca, en Ausonia, llegó a 292 milímetros; y en Villa María, a 287.
Datos
En total, son al menos 24 las localidades que ya superaron los 200 milímetros este mes: las mencionadas más Marcos Juárez (268 según el Inta), Leones (249), El Florentino (272), Noetinger (236), General Roca (200), Monte Buey (222), Bell Ville (224), Ordóñez (226), Monte Maíz (249), Pascanas (206), Pasco (207), Etruria (215), Hernando (229), Bengolea (213), San Francisco (247), San Antonio de Litín (234), El Fortín (206), Freyre (217), Colonia Almada (207), Santa Rosa de Calamuchita (229) y Salsacate (211).







































