Si bien se reconoce que la respuesta de los cultivos a la fertilización con fósforo (P) varía según niveles extractables de este nutriente y en interacción con otras propiedades de suelo, de cultivo y de manejo, la información para la delimitación de zonas de manejo uniforme para su eficiente uso es escasa. Los objetivos de este estudio fueron relacionar la respuesta a la fertilización con P, para cultivos de maíz y de soja, bajo condiciones contrastantes de productividad (zonas de manejo) y de decisiones de manejo (fechas de siembra), con diferentes propiedades de suelo, de paisaje y de productividad potencial. Se condujeron 6 estudios, en dos establecimientos del centro de la provincia de Buenos Aires (Argentina). Se delimitaron zonas de manejo de alta (AP) y baja (BP) productividad. Se instalaron dos tratamientos de fertilización con fósforo: control sin aplicación de fósforo (P0) y fertilizado (P1). Se realizaron muestras compuestas individuales para cada repetición y se determinó el porcentaje de MO, la conductividad eléctrica (CE), y el contenido de arena. Se realizaron regresiones lineales para cada cultivo de rendimiento fertilizado y sin fertilizar en función del índice ambiental (IA). Se obtuvieron relaciones positivas entre MO, CE y negativas con arena para los cultivos de maíz y positivas con CE y pH para los cultivos de soja, con la respuesta a P. En el cultivo de maíz, con el aumento del índice ambiental aumenta de manera más que proporcional el rendimiento de los tratamientos fertilizados, con respecto a los sin fertilizar, a partir de un rendimiento de 5291 kg ha-1 , mientras que para soja, a partir de un rendimiento de 2770 kg ha-1 . Se puede plantear un modelo de recomendación de fertilización sitio específico a partir de los niveles críticos de P y de la productividad potencial de cada zona de manejo.
El manejo de nutrientes sitio-específico es una tecnología que se sustenta en la capacidad de reconocer la heterogeneidad de productividad de los cultivos y de niveles de nutrientes dentro del lote de producción y adecua el uso de insumos para cada unidad de manejo reconocida (Khosla et al., 2002). En la subregión pampa arenosa, los niveles medios de fósforo extractable, determinados por la metodología de Bray y Kurtz 1, sugieren condiciones de limitación para la normal producción de soja y maíz (Cruzate & Casas 2012). La mayor parte del fósforo (P) que absorben los cultivos se concentra en los granos y por lo tanto es exportado con las cosechas siendo la extracción continua sin reposición una de las formas directas de pérdida de fertilidad de los suelos (Cordell et al., 2009). Esto ocasiona que, a escala de lote existan diferencias marcadas de niveles de P ocasionados por diferencias en productividad de los cultivos, y por lo tanto en la extracción de nutrientes. La respuesta a la fertilización fosforada en la subregión pampa arenosa ha sido descripta por varios autores (Barraco et al, 2014, Prystupa et al 2004, Ferrari et al, 2000). La misma depende del nivel de Pe en suelo, pero también es afectada por factores físicos y químicos del suelo, del cultivo y de manejo del fertilizante (García, 1999). Si bien se reconoce que la respuesta de los cultivos a la fertilización con fósforo varía según niveles extractables de este nutriente, la interacción con otras propiedades de suelo y de cultivo a nivel sitio específico puede contribuir a mejorar la recomendación sitio específica para la fertilización con este nutriente. El objetivo de este estudio fueron relacionar la respuesta a la fertilización con fósforo (P), para cultivos de maíz y de soja, bajo condiciones contrastantes de productividad (zonas de manejo) y de decisiones de manejo (fechas de siembra), con diferentes propiedades de suelo, de paisaje y de productividad potencial.
MATERIALES Y MÉTODOS
En las campañas 2013/14 y 2014/15, se condujeron 6 estudios, 4 durante la campaña 2013-2014 y 2 durante la 2014-2015 en dos establecimientos del centro de la provincia de Buenos Aires (Argentina): “Don Domingo y Doña María Barnetche” (Bar) (36° 08′ 46″ S, 61° 04′ 26″ O) y “Los Tambos” (LT) (36° 07′ 52″ S, 61° 30′ 12″ O) bajo prácticas agrícolas en siembra directa representativas de sistemas agrícolas de la subregión pampa arenosa. El manejo de los cultivos de soja y maíz se detallan en la Tabla 1.
Los suelos fueron clasificados en Hapludoles énticos y Hapludoles típicos entre posiciones elevadas a deprimidas en el relieve. En cada sitio se delimitaron zonas de manejo de alta (AP) y baja (BP) productividad mediante fotointerpretación de imágenes satelitales de cobertura de cultivos en campañas anteriores a las del estudio y aplicando análisis de agrupamiento de índice verde normalizado (NDVI) de los datos de las imágenes satelitales. En franjas de 10 m de ancho por 100 m de largo y con 3 repeticiones para cada fecha de siembra, se instalaron dos tratamientos de fertilización con fósforo: (i) control sin aplicación de fósforo (P0) y (ii) fertilizado (P1) con superfosfato triple (0-20-0) a razón de 100 kg ha-1 aplicado en el momento de la siembra sobre la superficie (“al voleo”). La caracterización edáfica de los sitios experimentales se realizó a partir de muestras compuestas por 25 submuestras tomadas, antes de la siembra de cada cultivo, en la capa de 0 a 20 cm de profundidad, e individuales para cada repetición. En las muestras de los suelos se determinó el porcentaje de MO a partir de la determinación carbono orgánico total (COT) según la siguiente ecuación:
MO (%) = COT (g kg-1 ) x 1,724-1 x 100………………..………………….…………………..……Ec. 1
Fósforo extractable, el pH en agua por potenciometría 1,0:2,5, conductividad eléctrica del extracto de saturación en relación suelo: agua 1:2,5 por el método conductimétrico y el contenido de arena. Se calculó el Indice de Materia orgánica (IMO) en la capa de los primeros 0,2 m de suelo:
IMO = (MO) (Limo+Arcilla)-1 (100) ec……………………….…………………….….…………..Ec. 2,
donde IMO es el índice de materia orgánica, MO es el contenido de materia orgánica, Limo es el contenido de limo, y Arcilla es el contenido de arcilla, todas estas variables expresadas en porcentaje.
En estadios de madurez fisiológica de maíz y de soja se realizó la cosecha manual de los cultivos sobre una superficie de 3 m2 y con 3 submuestras separadas de forma equidistante cada 30 m aproximadamente dentro de cada franja que luego fueron promediadas. Los rendimientos en grano de cada muestra fueron corregidos a contenidos uniformes de 14,5% de humedad. Se calculó la respuesta relativa a la fertilización con P:
Respuesta Relativa (%) = (Respuesta (kg ha-1 )) ((P0) (kg ha-1 )) -1 (100) ec………………..………..Ec. 3,
siendo la respuesta la diferencia entre (P1) y (P0) para cada tratamiento. Se calculó un índice ambiental (IA) para cada fecha de siembra, zona de manejo, cultivo y lote como el promedio de rendimiento de los tratamientos fertilizados con fósforo y sin fertilizar, y se lo relativizó a partir del máximo para cada cultivo. Se realizaron regresiones lineales para cada cultivo de rendimiento fertilizado y sin fertilizar en función del IA, y se compararon las pendientes con la recta 1:1 mediante pruebas de t. Para los análisis estadísticos se utilizó el programa Infostat (Di Rienzo et al., 2017).
RESULTADOS Y DISCUSIÓN
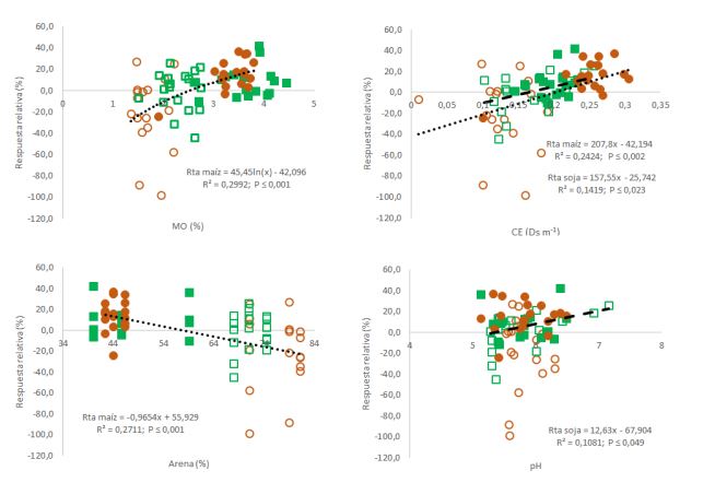
A partir de los resultados obtenidos, se obtuvieron relaciones entre las propiedades de suelo y de productividad con la respuesta al agregado de P. Para los cultivos de maíz, la respuesta al agregado de P en función de los contenidos de MO, presentaron una relación de tipo logarítmica positiva (R2= 0,29). A partir de valores por encima de 2,52 %, las respuestas comienzan a ser positivas. Para los cultivos de soja, no se encontró una relación estadísticamente significativa. La respuesta al agregado de P en función de la CE, presentó una relación lineal para ambos cultivos: en maíz (R2= 0,24, p< 0,002) mostrando respuestas positivas a partir del valor de CE de 0,203 dS m-1 , mientras que en soja (R2= 0,14, p< 0,023) mostrando respuestas positivas a partir del valor de CE de 0,163 dS m-1 . Para ambos cultivos evaluados, los mayores valores de CE y MO coinciden con las zonas de manejo de AP. Las mismas están asociadas a partículas de suelo más finas, y a posiciones bajas del relieve, mejorando la capacidad de retención de agua de los suelos. Esto incrementa el contenido de MO, como consecuencia del mayor aporte de residuos que reciben (Parton et al., 1993). A su vez, los contenidos de MO, se asocian a partículas de suelo más finas, debido al efecto protector de las mismas (Quiroga et al, 1996). Para el cultivo de maíz, la respuesta al agregado de P en función de los contenidos de arena, mostro un ajuste lineal negativo (R2= 0,14, p< 0,001), disminuyendo la respuesta, a medida que aumentan los contenidos de arena, siendo positiva hasta el 58 %. Las respuestas a su vez se obtuvieron en las zonas de manejo de alta productividad. No se observó correlación entre la respuesta al agregado de P y el porcentaje de arena para soja. Las zonas de manejo de AP, presentaron un menor contenido de arena. Esto hace que tengan la capacidad para almacenar mayor cantidad de agua útil, pudiendo estar disponible para el cultivo en diferentes momentos, mientras que las zonas de manejo de BP, la capacidad de almacenar el agua es baja, dependiendo la necesidad hídrica de las lluvias en los momentos críticos del cultivo. Esto pudo afectar al más al cultivo de maíz que al de soja, debido a que el crecimiento del maíz depende directamente de las precipitaciones en el período próximo a la floración (Andrade et al, 1996). La respuesta al agregado de P en función del IMO no mostró correlación con ninguno de los cultivos.
Se observó una relación lineal positiva entre la respuesta al agregado de P y el pH en el cultivo de soja (R2= 0,11, p< 0,001), mostrando esta valores de respuesta positivos a partir de 5,37. No se observó relación entre la respuesta al agregado de P y el pH en el cultivo de maíz. La relación entre el pH y la productividad del cultivo de soja, ha sido descripta por otros autores. La acidificación no sólo acarrea deficiencias de nutrientes básicos, sino que también produce perjuicios como la reducción de la disponibilidad de P y MO, la actividad de microorganismos responsables de la nitrificación y fijación simbiótica de N, y hasta toxicidad de Al, en situaciones donde el pH es menor a 5,5 (Vázquez et al., 2010). En un estudio realizado en suelos de la provincia de Buenos Aires y Santa Fe, el agregado de enmiendas básicas en suelos de moderada a fuerte acidez actual ubicados en, aplicadas entre 15 días y 1 año previo a los cultivos, produjo incrementos de rendimiento de soja que oscilaron entre 209 y 1264 kg ha-1 (Vázquez et al. 2012). La respuesta al agregado de P en función del IA, mostro una correlación positiva para ambos cultivos, ajustándose a una función lineal. En el cultivo de maíz (R2= 0,37, p< 0,0001), la respuesta se vuelve positiva con un valor de 55,5 % de IA, mientras que para soja la respuesta se vuelve positiva con un valor de 40,6 % de IA. (Figura 1).
Figura 1: Relación entre la respuesta relativa al fertilizar con fósforo en lotes de maíz y de soja en 62 sitios de la subregión pampa arenosa según materia orgánica (MO), conductividad eléctrica (CE), arena, pH, índice de materia orgánica (IMO), e índice ambiental (IA) . Círculos llenos= maíz alta productividad, círculos vacíos= maíz baja productividad, cuadrados llenos = soja alta productividad, cuadrados vacíos = soja baja productividad.
En el cultivo de maíz, con el aumento del índice ambiental aumenta de manera más que proporcional el rendimiento de los tratamientos fertilizados, con respecto a los sin fertilizar (p <0,0001), a partir de un rendimiento de 5291 kg ha-1 . Esto indica que la respuesta a la fertilización con fosforo en el cultivo de maíz aumenta a medida que el potencial del sitio es mayor (Figura 3 A). Al igual que para maíz, para el cultivo de soja, el aumento de rendimiento de los tratamientos fertilizados, aumenta en mayor medida que los tratamientos sin fertilizar a mayor IA (p <0,05), a partir de un rendimiento de 2770 kg ha-1 (Figura 3 B).
Si bien en este estudio, existe una relación negativa entre el IA y el contenido de Pe en suelo, existen varios sitios donde el índice ambiental es alto y los contenidos de Pe en suelo también lo son; y puntos donde el índice ambiental y el contenido de Pe en suelo es bajo. Resultado similares fueron reportados por Ross y Elgart (2014), en el sudoeste de Buenos Aires, para experimentos realizados en el cultivo de trigo, encontraron mayores respuestas al agregado de P, cuando el índice de productividad del cultivo aumentaba, en este caso limitado a partir de la profundidad de la tosca, y los contenidos de MO. Sin embargo, Gutiérrez-Boem & Thomas, (1999), en Princeton, Kentucky, EUA, en experimentos a campo encontraron que la mayoría de los efectos entre el agregado de fósforo y el estrés hídrico en el crecimiento del cultivo de soja fueron aditivos, por lo que, en general, los efectos del estrés hídrico fueron similares en cada nivel de P. GutiérrezBoem & Thomas, (2001), en experimentos en macetas encontraron que las reducciones relativas debidas al estrés hídrico fueron similares en cada nivel de P para el área foliar individual, el área foliar de la planta completa, la biomasa aérea, la conductancia estomática y la transpiración. En estos experimentos se mantuvo un nivel constante de estrés hídrico durante el desarrollo del cultivo, generando menor crecimiento en los tratamientos sin riego, mientras que en los experimentos realizados en este trabajo, los mayores estreses ocurren alrededor del período crítico, ya que en etapas anteriores a este, los tratamientos con fertilización fosforada mostraron mayor crecimiento, siendo luego perjudicial para el rendimiento del cultivo.
CONCLUSIONES
Para los cultivos de maíz, la respuesta al agregado de P, bajo condiciones contrastantes de manejo se relacionó con los contenidos de MO y Arena y con los valores de CE. Mientras que para soja, se encontraron relaciones con los valores de CE y pH. La respuesta a la fertilización con fosforo en los cultivos de maíz aumenta a medida que el potencial del sitio es mayor a partir de un rendimiento de 5,291 kg ha-1 . Para el cultivo de soja, el aumento de rendimiento de los tratamientos fertilizados, aumenta en mayor medida que los tratamientos sin fertilizar a mayor IA (p <0,05), a partir de un rendimiento de 2770 kg ha-1 . A partir de estos resultados se puede plantear un modelo de recomendación de fertilización sitio específico a partir de los niveles críticos de P y de la productividad potencial de cada zona de manejo del lote.
Fuente: INTA por Gonzalo Perez, Martín Díaz Zorita










































