LA RET-INASE DE INTA BALCARCE DURANTE LAS CAMPAÑAS 2014/15 a 2017/18
El rendimiento y su estabilidad son las principales características a tener en cuenta en la elección de un cultivar. La estabilidad del rendimiento de un cultivar será mayor cuanto menor sea la variación de la diferencia entre el rendimiento del cultivar y el rendimiento promedio de todos los cultivares evaluados en los diferentes ambientes. En un informe previo, Abbate et al. (2017) se presentaron un método simple para estimar la estabilidad de los cultivares de trigos evaluados en la RET-INASE, el cual se basa en: (1) el rendimiento promedio de cada cultivar y (2) el coeficiente de variación de los cultivares a través de las campañas de evaluación. El objetivo de este siguiente trabajo es presentar el rendimiento promedio de los cultivares comerciales de trigo disponibles para Balcarce y su estabilidad a través de las cuatro últimas campañas, mediante el método mencionado anteriormente.
MATERIALES Y MÉTODOS
Los datos presentados fueron obtenidos durante las campañas agrícolas 2014/15 a 2017/2018, en INTA Balcarce, Estación Experimental Agropecuaria “Ing. Agr. Domingo Pasquale” ubicada en la Ruta Nacional 226, km 73.5, Balcarce, Bs. As., Argentina (latitud 38° S, longitud 58° O, altitud 130 m), en la Subregión triguera IV. Los ensayos forman parte de la “Red de ensayos comparativos de cultivares de trigo pan” (RET), coordinada por el Instituto Nacional de Semillas (INASE), dependiente del Ministerio de Agroindustria.
Manejo del cultivo
Los experimentos se condujeron, sobre un suelo Argiudol Típico (USDA Taxonomy), Serie Mar del Plata, con aproximadamente 4.7 % de materia orgánica (0-20 cm) y tosca presente a una profundidad promedio de 80-120 m. El cultivo antecesor fue soja. Las labores de la primera campaña reportada fueron con sistema convencional y en las tres últimas con siembra directa. Cada cultivar se evaluó en 1 o 2 épocas de siembras entre las cuatro épocas establecidas en la RETINASE de la Subregión IV; cada criadero eligió la época de siembra de sus cultivares. Las fechas de siembra de cada época y las densidades de semilla se presentan en la Tabla 1. El tamaño de las parcelas sembradas fue de siete surcos de ancho, distanciados 0.20 m y 7.0 m de largo. La orientación de los surcos fue similar en todas las campañas.
Los ensayos se condujeron sin riego. La cantidad total de nitrógeno aplicada fue calculada para satisfacer los requerimientos de un cultivo de trigo con rendimiento de 80 qq/ha, descontado el nitrógeno presente en el suelo a la siembra. La cantidad de fósforo aplicada correspondió a la reposición del nutriente exportado por el cultivo, mientras que la cantidad de azufre aplicada correspondió al 50% de la reposición del nutriente exportado. El fósforo se aplicó previo a la siembra a razón de 26 kg/ha de fósforo como fosfato diamónico (160 kg/ha). La fertilización con nitrógeno se dividió en tres momentos: (1) previo a la siembra como fosfato diamónico, (2) a inicio del macollaje y (3) al inicio de encañazón, como urea. El yeso se aplicó en coincidencia con la última fertilización nitrogenada. Todas las aplicaciones de nutrientes fueron en cobertura total.
Las malezas fueron controladas inicialmente por medio de un herbicida total en presiembra. En macollaje se aplicó un herbicida compuesto para controlar malezas gramíneas y latifoliadas (Tabla 2). Las enfermedades fueron controladas solamente en los ensayos “con funguicida” por medio de una mezcla comercial de un triazol y una estrobilurina (Tabla 2), mediante una única aplicación en la campañas 2014/15 en hoja bandera expandida y por medio de dos aplicaciones en las campañas 2015/14, 2016/17 y 2017/18, una en hoja bandera expandida y otra en espigazón.
Mediciones
El rendimiento en grano se cuantificó cosechando mecánicamente los cincos surcos centrales de cada parcela. Previo a la cosecha se midió el largo de cada parcela a fin de determinar la superficie cosechada. Antes y después de la cosecha se recorrieron los ensayos para determinar las pérdidas atribuibles factores biótico (p.ej. daño de pájaros u orugas), abióticos (p.ej. desgrane) y a los propios de la cosecha. Los rendimientos calculados fueron incrementados en proporción a las pérdidas de cosecha registradas, si bien estas fueron bajas (rara vez mayor a 5%). El grano cosechado se pesó en húmedo y de los mismos se tomó una submuestra de aproximadamente 40 g la cual se pesó en húmedo y luego de secarla a 65°C durante 48 hs, para calcular su porcentaje de humedad. Los rendimientos presentados fueron ajustados a 14% de humedad (humedad de comercialización del grano de trigo según Norma XX de la Resolución 1262, SAGYP 2004).
Diseño experimental y análisis estadísticos En cada campaña, se condujeron ocho ensayos independientes: un ensayo con fungicida y otro sin fungicida, cada par en cuatro épocas de siembra. Los cultivares (tratamientos) dentro de cada ensayo se dispusieron siguiendo un diseño experimental en bloques completos aleatorizados, con tres repeticiones. Se evaluó la homogeneidad de varianza entre tratamientos mediante la prueba de Bartlett. La diferencia entre los rendimientos promedios de los cultivares se estableció mediante Análisis de Varianza (ANAVA). Cuando el ANAVA indicó diferencias significativas entre cultivares (P≤0.05), los promedios se compararon por el método de la mínima diferencia significativa (MDS) de Fisher. El rendimiento de cada cultivar también se expresó como la diferencia porcentual respecto del rendimiento promedio del ensayo como:
RESULTADOS
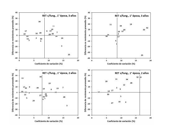
Fig. 1. Relación entre la diferencia del rendimiento promedio (DRTO, Ec.[1]) y el coeficiente de variación (CV, Ec.[2]) del promedio de las 2 (abajo) y 3 (arriba) últimas campañas (no se presenta el promedio de 4 campañas porque la 1° época del año 2014 no fue sembrada), para los cultivares de la 1° época de siembra de la RET de trigo de INTA Balcarce, con (izquierda) y sin (derecha) fungicida. La línea horizontal corresponde al promedio de las DRTO y la vertical al promedio de los CV. Los números de cultivar y las MDS se presentan en la Tabla 3.
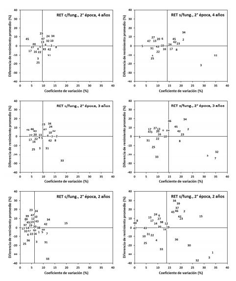
Fig. 2. Relación entre la diferencia de rendimiento porcentual (DRTO, Ec.[1]) y el coeficiente de variación (CV, Ec.[2]) del promedio de las 2 (abajo), 3 (centro) y 4 (arriba) últimas campañas, para los cultivares de la 2° época de siembra de la RET de trigo de INTA Balcarce, con (izquierda) y sin (derecha) fungicida. La línea horizontal corresponde al promedio de las DRTO y la vertical al promedio de los CV. Los números de cultivar y las MDS se presentan en la Tabla 4.
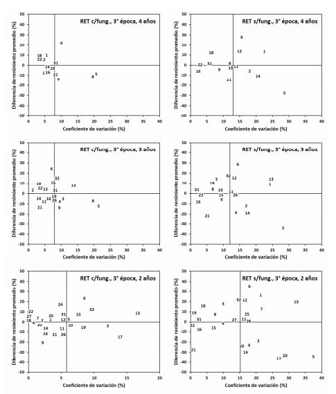
Fig. 3. Relación entre la diferencia de rendimiento porcentual (DRTO, Ec.[1]) y el coeficiente de variación (CV, Ec.[2]) del promedio de las 2 (abajo), 3 (centro) y 4 (arriba) últimas campañas, para los cultivares de la 3° época de siembra de la RET de trigo de INTA Balcarce, con (izquierda) y sin (derecha) fungicida. La línea horizontal corresponde al promedio de las DRTO y la vertical al promedio de los CV. Los números de cultivar y las MDS se presentan en la Tabla 5.
Fig. 4. Relación entre la diferencia de rendimiento porcentual (DRTO, Ec.[1]) y el coeficiente de variación (CV, Ec.[2]) del promedio de las 2 (abajo), 3 (centro) y 4 (arriba) últimas campañas, para los cultivares de la 4° época de siembra de la RET de trigo de INTA Balcarce, con (izquierda) y sin (derecha) fungicida. La línea horizontal corresponde al promedio de las DRTO y la vertical al promedio de los CV. Los números de cultivar y las MDS se presentan en la Tabla 6.
Tabla 3. Rendimiento promedio (RTO), diferencia de rendimiento porcentual (DRTO, Ec.[1]) y coeficiente de variación de DRTO (CV, Ec.[2]), de 1, 2, 3 y 4 últimas campañas (a partir de la campaña 2017/18), para cada cultivar de la 1° época de siembra de la RET de trigo de INTA Balcarce, con y sin fungicida (cultivares ordenados alfabéticamente).
Tabla 4. Rendimiento promedio (RTO), diferencia de rendimiento porcentual (DRTO, Ec.[1]) y coeficiente de variación de DRTO (CV, Ec.[2]), de 1, 2, 3 y 4 últimas campañas (a partir de la campaña 2017/18), para cada cultivar de la 2° época de siembra de la RET de trigo de INTA Balcarce, con y sin fungicida (cultivares ordenados alfabéticamente).
Tabla 5. R Rendimiento promedio (RTO), diferencia de rendimiento porcentual (DRTO, Ec.[1]) y coeficiente de variación de DRTO (CV, Ec.[2]), de 1, 2, 3 y 4 últimas campañas (a partir de la campaña 2017/18), para cada cultivar de la 3° época de siembra de la RET de trigo de INTA Balcarce, con y sin fungicida (cultivares ordenados alfabéticamente).
Tabla 6. Rendimiento promedio (RTO), diferencia de rendimiento porcentual (DRTO, Ec.[1]) y coeficiente de variación de DRTO (CV, Ec.[2]), de 1, 2, 3 y 4 últimas campañas (a partir de la campaña 2017/18), para cada cultivar de la 4° época de siembra de la RET de trigo de INTA Balcarce, con y sin fungicida (cultivares ordenados alfabéticamente).
Fuente: INTA por Pablo Eduardo Abbate, Estefanía Del Vechio, Fernando Aguate y Mónica Balzarini


















































