La brecha subió 2,3% frente a febrero para el promedio de los 25 principales productos agropecuarios que se sirven en la mesa familiar. Naranja, pera y mandarina fueron los productos de mayores brechas. Huevo, cebolla y acelga, los de menos. La participación del productor en el precio mejoró levemente a 22,8%, a pesar de la ampliación de la brecha.
-La diferencia de precios entre lo que pagó el consumidor y lo que recibió el productor por los productos agropecuarios subió 2,3% en marzo frente a febrero, impulsada por la suba en las brechas de la pera, la naranja y el ajo, principalmente.
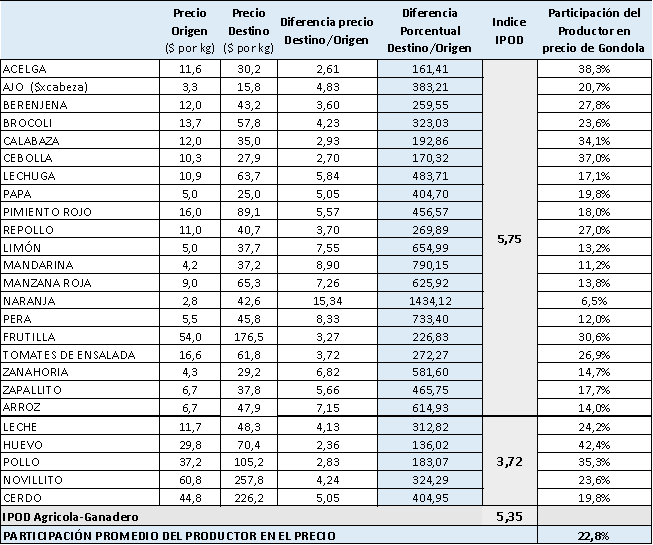
-En promedio, los consumidores pagaron 5,35 veces más de lo que cobró el productor por sus productos en la tranquera de sus campos, cuando en febrero la diferencia fue de 5,23 veces.
-Los cambios del mes, sin embargo, responden a movimientos estacionales y a otros habituales de los productos, donde el efecto de subas en las brechas fue más intenso que el de aquellos donde se redujo. De los 25 productos relevados, en 13 se incrementaron las brechas y en 12 se redujeron.
-Los datos surgen del Índice de Precios en Origen y Destino (IPOD) que elabora el área de Economías Regionales de CAME en base a precios diariosonline de los principales supermercados del país, más de 700 precios de verdulerías y mercados para cada producto, y precios de origen de las principales zonas productoras que releva un equipo de 35 encuestadores.
-En marzo, el IPOD agrícola subió 2%, llevando su brecha a 5,75 veces, la que resultó 18,3% mayor a la del mismo mes del año pasado.
-El IPOD ganadero, en tanto, subió 4,5%, ubicándose en 3,72 veces, principalmente debido a una recomposición del precio en góndola de las carnes de cerdoy novillito.
-La participación del productor en el precio final aumentó 2,2%, a 22,8% promedio, desde el 22,3% del mes anterior.
- La participación del productor en el precio final aumentó 2,2%, a 22,8% promedio, desde el 22,3% del mes anterior.
Mayores y menores brechas
-Los productos con mayores brechas en marzo fueron: la naranja, donde el precio se multiplicó por 15,34 veces desde que salió del campo, la mandarina con 8,9 veces, la pera con 8,33 veces, el limón con 7,55 veces, la manzana roja con 7,26 veces, el arroz con 7,15 veces, y la zanahoria con 6,82 veces.
-En el caso de la naranja la brecha subió de 11,14 veces en febrero a 15,34 veces en marzo. Hubo una caída mensual de 19,6% en los precios de origen, mientras que en destino los precios subieron 10% debido a que se están tomando valores futuros de reposición. Según comentaron los productores, el consumo de ese producto viene muy resentido, con caídas cercanas al 50%. Y si bien la producción se presenta muy bien, los precios que están recibiendo los productores son muy bajos porque no cubren los costos de la cosecha.
-Los productos con menores brechas en el mes, en tanto, fueron: el huevo con una multiplicación de 2,36 veces, la acelga con 2,61 veces, la cebolla con 2,7 veces, la carne de pollo con 2,83 veces, y la calabaza con 2,93 veces. Estos cinco productos se mantuvieron durante el mes con brechas menores a tres veces.
BRECHA IPOD: diferencia entre el precio de origen y el precio de destino

-Otro producto que en marzo registró una brecha relativamente baja fue la frutilla, donde los precios se multiplicaron por 3,27 veces desde que salió del campo. Fue el alimento con mayor caída de la brecha IPOD, con un retroceso del 38,7%, mejorando así la relación entre lo que recibe un productor y lo que paga el consumidor en góndola. Lo que se observó en el mes fue una suba del 72% en el precio de origen, como consecuencia de la estacionalidad propia de la frutilla. Desde febrero viene cayendo fuerte la comercialización, lo que genera un aumento de precios por escasez, pero, según los productores consultados, se espera que en adelante el precio al productor se estabilice en los $ 54. Tanto en Buenos Aires como en Santa Fe, dos de las principales zonas productoras, se observaron subas en los precios a los productores en marzo.
Productos con mayor y menor brecha IPOD
Subas en las brechas
-Además de la naranja, el producto donde más subió la brecha fue la pera, con un aumento de 1,6 veces, y una brecha que pasó de 6,73 veces a 8,33 veces. Lo mismo sucedió con el ajo, donde la brecha pasó de 3,48 veces en febrero a 4,83 veces (+1,4 veces), como consecuencia de la caída en 25,4% en el precio de origen y un aumento de 3,7% en destino.
-El cuarto producto donde las subas incidieron más fue la mandarina, pasando de una brecha de 7,76 veces en febrero a 8,9 veces en marzo (+1,1 veces). Si bien los precios al consumidor de esa fruta bajaron 12,9%, más cayeron los precios que recibió el productor: 24,1% menos que en febrero.
-Un comportamiento similar tuvo la zanahoria, con una brecha que subió 1,1 veces, desde 5,7 veces en febrero a 6,8 veces en marzo. Se produjo acá la peor combinación: caída en los precios al productor (-9,4%) y suba en los precios al consumidor (+8,4%).
Comportamientos de origen y destino
En marzo hubo nueve productos con caídas en los precios al productor y 16 con subas. Mientras que en los precios al consumidor hubo 15 productos con aumento y 10 con bajas. Las caídas en los precios de góndola fueron en algunos casos por cuestiones estacionales y en otros por la baja en el consumo.
A su vez, hubo cuatro productos donde bajó el precio al productor, pero subió su valor en góndola, que es la combinación más distorsiva: fueron el ajo, la naranja, la zanahoria y el tomate.
Situación de los precios de origen en los productos del IPOD
Participación del productor
-A pesar del aumento en la brecha entre precio de origen y destino, mejoró levemente la participación promedio del productor en el precio final del producto, que subió 2,2%, de 22,3% en febrero a 22,8% en marzo.
Participación del productor en el precio final
Los productos con menor participación del productor en el precio durante marzo volvieron a ser los siguientes: la naranja, donde recibió apenas el 6,5% del precio final, la mandarina con el 11,2%, la pera con el 12%, el limón con el 13,2%, y la manzana con el 13,8%.
En productos como el huevo el productor se llevó el 42,4% del precio que pagó el consumidor en marzo (2,2 puntos menos de participación que en febrero), en la acelga el 38,3%, y en la cebolla el 37%.
Productos con mayor y menor participación del productor en el precio final
El IPOD es un indicador elaborado por el sector de Economías Regionales de CAME para medir las distorsiones que suelen multiplicar por varias veces el precio de origen de muchos productos agropecuarios en el recorrido desde que salen del campo y hasta que llegan al consumidor. Esas distorsiones son muy dispares según producto, región, tipo de comercio y época del año.
En general, las diferencias están determinadas por un conjunto de comportamientos, algunos especulativos de diferentes actores del mercado, básicamente de las grandes cadenas de supermercados que abusan de su posición dominante en el mercado. Otros son factores comunes como la estacionalidad, que afecta a determinados productos en algunas épocas del año, o los costos de almacenamiento y transporte.
Fuente: CAME












































